Ichino e Terlizzese (IT) in una replica al nostro articolo "Ma i poveri pagano l’università ai ricchi?" ci chiedono "Sulla base di quale conto CSL [ndr. Coin & Sylos Labini] ottengono invece i loro risultati?" Qui di seguito spieghiamo in dettaglio il conto e chiariamo anche altri numeri sollevati nella replica di IT. Tuttavia non ci dilunghiamo in altri commenti, perché riteniamo sia sufficiente rimandare al nostro precedente contributo e alle referenze ivi contenute per ulteriori chiarimenti sulle nostre critiche alle tesi di IT.
1) Secondo CSL avremmo fatto riferimento, nei nostri conti sul trasferimento dai poveri ai ricchi, a un numero sbagliato per l’FFO, 9 miliardi invece di 6,8. I dati, riportati sul Corriere provengono dalla nostra precedente proposta riguardo alla quale proprio con Francesca Coin abbiamo avuto uno scambio molto vivace ma, almeno per noi, proficuo. In quel lavoro, da cui origina un libro che uscirà tra pochi giorni (“Facoltà di Scelta”, Rizzoli), abbiamo utilizzato per la spesa pubblica a favore dell’università dati riferiti al 2009: gli ultimi di cui disponevamo mentre scrivevamo. È un riferimento che avremmo dovuto menzionare anche nell’articolo sul Corriere (lo spazio era poco, ma 4 caratteri in più ci stavano) e di questo ci scusiamo. In quell’anno l’FFO era 7.4 miliardi di euro, ma ammontava in totale a 9 miliardi il finanziamento pubblico complessivo agli atenei Italiani, e quella è la cifra che (come chiaramente affermato nel lavoro che Francesca conosce) abbiamo usato nei nostri calcoli.
Nell'articolo lungo di IT si fa riferimento alla seguente tabella del rapporto del CNVSU, da cui si evince che la cifra di circa 9 miliardi si ottiene sommando l'FFO (7,39 miliardi nel 2009), entrate finalizzate dal MIUR (0,95 miliardi), alienazioni beni patrimoniali e prestiti (0,36 miliardi) ed entrate diverse (0,46) miliardi. Nell'articolo sul Corriere della Sera IT scrivono che " lo Stato dà all’università" 9 miliardi: ci sembra piuttosto improprio catalogare tutte queste spese come soldi che lo Stato dà all'università, come anche includerle nel "contributo dei poveri ai ricchi". Quando si discute di spese universitaria si intende l'FFO e non "entrate finalizzate da Miur" o "alienazioni beni patrimoniali e prestiti" a meno che non sia specificato, giustificando in dettaglio la ragione per tale scelta.

2) CSL presentano poi dei numeri dai quali risulta che i contribuenti più ricchi sovvenzionerebbero i più poveri, contrariamente a quanto da noi affermato. In particolare affermano che i contribuenti con reddito superiore a 100˙000 euro contribuirebbero attraverso l’Irpef al costo annuo procapite di uno studente universitario (da loro valutato in 3800 euro al netto delle tasse universitarie), con circa 1500 euro; quelli con reddito fino a 40˙000 euro contribuirebbero con circa 400 euro; quelli con reddito fino a 20˙000 euro con circa 100 euro. Confessiamo di non aver capito come CSL abbiano ottenuto le cifre che presentano.
Il primo numero, 3,800 euro, non è il costo annuo procapite di uno studente universitario ma il costo medio annuo di uno studente universitario, ottenuto, come spiegato nel nostro articolo, con la semplice operazione:
3800 euro = 6.8 mld euro (FFO 2012) / 1.8 mln studenti.
Visto che in Italia ci sono 41 milioni di contribuenti il costo medio per contribuente è
165 euro = 6.8 mld/41 mln
Si ipotizza che la spesa universitaria sia coperta dalla sola Irpef e poiché le aliquote Irpef variano con il reddito bisogna considerare la situazione più in dettaglio.
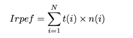
Vogliamo dunque calcolare quanto "spende" il sig. Rossi in istruzione universitaria tramite la fiscalità generale. Ovvero il sig. Rossi ha reddito r(i) e paga t(i) per l'Irpef: quanto sarà la quota di t(i) destinata a coprire l'FFO dell'università supponendo che non ci siano altre tasse (ipotesi fatta anche da IT)?
Per stimare t(i) il sig.Rossi può prendere la tabelle degli scaglioni
per calcolare la sua aliquota
e dunque se il suo reddito è
compreso nello scaglione j può usare la formula

Per calcolare la frazione di t(i)
che viene utilizzata per finanziare la spesa universitaria tramite la fiscalità
generale dobbiamo stimare il gettito Irpef totale, 
dove n(i) è il numero di
contribuenti reddito r(i) (con i=1..N - le classe di reddito sono
tabulate qui) e t(i)
è il relativo contributo Irpef. Definendo con p=FFO/Irpef la
frazione del gettito totale Irpef che va in FFO (p=0,03 per FFO=6,8 mld
di euro), il contibuto per la spesa dell'FFO tramite l'Irpef pagata dal sig.
Rossi è p*t(i). Nella figura seguente si mostra l'andamento del
contributo per classe di reddito
Questo risultato significa che un singolo "povero" paga per il sistema universitario molto meno di un singolo "ricco", sia in termini assoluti:
100 euro ("povero")
contro
1500 euro ("ricco"),
che percentuali:
100/20,000=0,5% ("povero")
contro
1500/100,000=1,5% ("ricco").
Inoltre, un "povero" paga tramite l'Irpef solo il 100/3800 = 2,8% del costo del servizio, mentre un "ricco" paga il 1500/3800 = 40% del costo del servizio.
I "poveri" dunque non pagano ai "ricchi" o più dei "ricchi": piuttosto i "poveri" contribuiscono alle spese di un servizio in maniera molto minore del costo del servizio stesso, come è giusto che sia.
Chiarito questo punto consideriamo quale sia il problema che IT evidenziano con la loro analisi. Il risultato di IT, "Che il finanziamento universitario opera ogni anno un trasferimento ingente, circa 2,5 mld di euro, dalle famiglie con reddito inferiore ai 40.000 euro lordi annui a quelle con reddito superiore" è ottenuto considerando il contributo aggregato delle classi di reddito ovvero moltiplicando il contributo del sig. Rossi p*t(i) per tutti gli altri "signori Rossi" che appartengono alla stessa classe di reddito, e così via.
Dunque, mentre noi ci chiediamo quanto sia il contributo del singolo sig.Rossi alla spesa universitaria, e quanto sarebbe dunque il suo "risparmio" se l'università non venisse pagata tramite la fiscalità generale (il 3% della sua tassazione Irpef - ovvero irrilevante), IT si chiedono una domanda diversa: quanto contribuiscono tutti coloro che hanno un certo reddito (o un reddito fino ad un certo valore) alla spesa universitaria?
Se l'università fosse frequentata nella stessa proporzione da studenti provenienti da ciascuna classe di reddito il dato aggregato fornirebbe una informazione del tutto identica al dato diasaggregato. Ma così non è, ed anzi è noto che gli studenti universitari provengono preferenzialmente dalle classi con redditi più alti. Dunque si crea uno squilibrio dovuto proprio al fatto che i "poveri", pur essendo più dei "ricchi", vanno meno dei "ricchi" all'università. Perciò IT si domandano: è giusto che qualcuno che non usufruisce direttamente di un certo servizio lo paghi tramite una frazione (ndr, irrilevante) delle proprie tasse? Rispondono: no.
Dunque, invece di finanziare la spesa con un contributo irrilevante di tutti i contribuenti, propongono di chiedere un contributo molto ingente, che implica l'indebitamento per qualche decennio, a chi si iscrive all'università e non ha le risorse per pagare tasse di circa 10,000 euro. Dunque il sig.Rossi, quello "povero" che prima pagava 100 euro, in maniera indiretta tramite la fiscalità generale, secondo IT avrà la convenienza di pagare 10,000 euro guadagnandoci una bella "scommessa" per l'investimento sulla propria formazione: quello che si dice un affarone!
A nostro avviso l'università fornisce un beneficio anche a chi non la frequenta (anche chi non va all'università avrà benifici materiali e morali dal vivere in una società più istruita) ed è dunque del tutto ragionevole che venga pagata da tutti i contribuenti, seppur in maniera del tutto trascurabile da ognuno. Ad esempio, lo Stato si occupa di fornire una istruzione fino ai 18 anni a tutti i cittadini, attraverso la scuola pubblica: chi paga per la formazione degli insegnanti? Tutti i cittadini attraverso la fiscalità generale. E così via per i medici, i giudici, chi si occupa dell'amministrazione dello Stato ecc.
In realtà il perno dell'argomento di IT non è altro che l'arcinoto problema del diritto allo studio: lo squilibrio attuale nella frequentazione dell'università, lo ricordiamo ancora una volta, è causato da una insufficente politica di supporto al diritto allo studio che richiederebbe di agire con forza e determinazione al più presto. Perché il fronte dell'equità sociale passa proprio per il diritto allo studio piuttosto che per l'aumento delle tasse universitarie come ripetutamente (e speriamo vanamente) proposto da IT.

