
Unità di cura intensiva, Saint Martin's General Hospital, Mechelen, Belgium (Wikimedia).
Da quando l’epidemia di COVID-19 si è abbattuta sull’Italia, diversi studi hanno cercato di valutare i suoi effetti sanitari immediati. Il più ovvio è l’aumento della mortalità, che scopriamo ogni giorno andare ben oltre quanto riportato dai numeri ufficiali [1]. Resta invece ancora poco studiato l’effetto che il notevole carico assistenziale dovuto a questa epidemia potrà avere sulla tenuta del SSN nel medio e nel lungo periodo. In particolare, il numero crescente di pazienti che necessitano di un trattamento in terapia intensiva desta molta preoccupazione.
È possibile, però, cercare di prevedere il fabbisogno di posti in terapia intensiva dei prossimi mesi, applicando dei modelli di simulazione ai dati italiani del sistema di sorveglianza della Protezione Civile. Questo approccio ci permette infatti di ipotizzare scenari con diversi gradi di successo delle misure di distanziamento sociale e valutare il carico assistenziale associato. Con questa finalità, il fabbisogno del SSN è stato valutato sotto due diversi scenari: uno più favorevole alla risoluzione dell’epidemia, l’altro meno. In entrambe le situazioni l’andamento dell’epidemia nel corso del primo mese segue quello osservato in Italia fino al 23 marzo; in seguito, però, si ipotizza che le misure di contenimento implementate circa due settimane prima inizino a fare il loro effetto:
- Nello scenario A le misure di contenimento provocano una importante riduzione dei nuovi contagi, corrispondente a un un Rt (cioè il numero di infezioni secondarie per ogni nuovo caso) pari a 0,60.
- Nello scenario B le misure di contenimento provocano una riduzione dei nuovi contagi più contenuta rispetto allo scenario A, corrispondente a un Rt pari a 0,90.
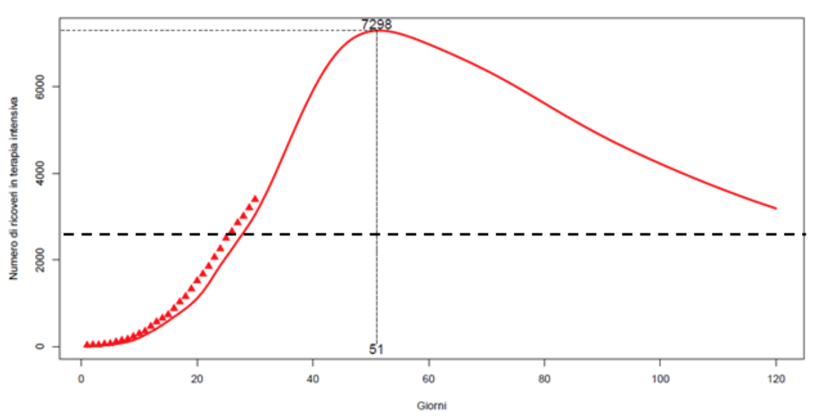
Il modello predice l’andamento del fabbisogno di posti di terapia intensiva sotto i diversi scenari nel corso dei successivi tre mesi, confrontandolo con una “soglia di sicurezza” che dovrebbe garantire lo svolgimento regolare delle attività assistenziali. Prima dell’epidemia di COVID-19 si contavano circa 5.000 posti di terapia intensiva in Italia; assumendo un tasso di occupazione medio del 50%, abbiamo quindi individuato in 2.500 posti la soglia del SSN per operare in maniera regolare. La scelta di questa soglia, meramente indicativa, non tiene in considerazione l’aumento dei posti di terapia intensiva dell’ultimo mese, né eventuali modifiche nella programmazione degli interventi chirurgici che potrebbe aver fatto diminuire il tasso di occupazione delle terapie intensive.

Figura 1. Scenario A. Risultati osservati e predetti.

Figura 2. Scenario A. Dettaglio sull’andamento dei ricoveri in terapia intensiva.
Nello scenario più ottimistico (scenario A), il picco dei contagiati viene raggiunto 20 giorni dopo l’implementazione delle misure di distanziamento sociale (figura 1). Il fabbisogno di ricoveri ordinari e in terapia intensiva continua però ad aumentare per altri 9 giorni, fino ad arrivare ad essere 2,5 volte maggiore della soglia di sicurezza (figura 2). Per ritornare al fabbisogno ordinario sarà necessario un ulteriore mese.

Figura 3. Scenario B. Risultati osservati e predetti.

Figura 4. Scenario B. dettaglio sull’andamento dei ricoveri in terapia intensiva.
Nel caso di un successo più lento delle misure (scenario B), la massima richiesta di ricoveri in terapia intensiva viene raggiunta 26 giorni dopo l’introduzione delle regolamentazioni (figura 3). In questo caso la necessità di posti di terapia intensiva sarà ben 3 volte maggiore della soglia di sicurezza e occorreranno più di tre mesi per ritornare alla normalità (figura 4).
Questi risultati sono coerenti con quelli di studi condotti in UK e USA [2-3] e indicano che la necessità di posti in terapia intensiva potrebbe rimanere elevata nei prossimi mesi, anche se gli interventi di mitigazione proposti dal Governo dovessero rivelarsi estremamente efficaci. A maggior ragione, se tali effetti dovessero essere più modesti, si profilerebbe una situazione di stallo nella quale la richiesta assistenziale si manterrebbe a livelli difficili da sostenere per un periodo lungo. In ogni caso, le misure di mitigazione avrebbero bisogno di essere mantenute per diversi mesi per evitare il collasso del SSN. Sembra difficile che questa strategia sia facilmente sostenibile dal punto di vista sociale ed economico.
D’altra parte, nel momento in cui tali misure di mitigazione dovessero essere sospese, la porzione suscettibile della popolazione (che si ritiene essere attualmente la grande maggioranza) sarebbe di nuovo vulnerabile. Gli scenari descritti, però, lasciano apparentemente poco margine per una strategia di “stop and go”, ovvero l’allentamento controllato e periodico delle misure, volto da una parte a fare aumentare la proporzione di soggetti immuni, dall’altra a rendere tali misure più accettabili alla popolazione.
Occorre anche considerare che la situazione descritta in queste simulazioni fa riferimento all’Italia in generale. È facile immaginare come, nelle regioni più colpite dall’epidemia, le criticità predette a livello nazionale risulterebbero ancora più accentuate. A titolo di esempio, se lo scenario B si verificasse nella Regione Veneto, il modello prevede che, alla fine della simulazione, il fabbisogno di terapie intensive sarebbe ancora tre volte superiore alla soglia di sicurezza.
I risultati riportati suggeriscono la necessità di una gestione dell’epidemia non solo di tipo puramente emergenziale. Questo richiede la necessità di organizzare una gestione dell’epidemia anche sul medio periodo. Ciò include un diverso orizzonte temporale nelle strategie di reclutamento del personale sanitario (e possibilmente la previsione di turnover, anche considerando l’alto rischio di contagio di questi lavoratori) e di pianificazione logistica. Nei prossimi mesi alcune iniziative di Sanità Pubblica potrebbero rivelarsi indispensabili e andrebbero quindi pianificate e implementate in anticipo. Ad esempio è probabile che, quando le misure di mitigazione verranno allentate, servirà una forte organizzazione sul territorio per l’identificazione tempestiva dei nuovi casi e il successivo contact-tracing.
Alcuni dei problemi più importanti associati all’epidemia di COVID-19 sono dovuti alla relativa impreparazione con la quale l’Italia e le altre nazioni hanno affrontato l’emergenza nel corso dei primi mesi. Commettere una seconda volta lo stesso tipo di errore potrebbe avere delle conseguenze sanitarie e sociali talmente gravi da risultare insostenibili.
Bibliografia
[1] Luca Carra, Roberto Satolli. Confermato eccesso di mortalità molto superiore ai casi di Covid.
[2] The Imperial College COVID-19 Response Team. Impact of non-pharmaceutical interventions (NPIs) to reduce COVID-19 mortality and healthcare demand.
[3] Kissler, Stephen, Christine Tedijanto, Marc Lipsitch, and Yonatan Grad. Social distancing strategies for curbing the COVID-19 epidemic.
