Nelle ultime settimane il nostro articolo “Is Italian Science Declining?” (di Cinzia Daraio e Henk Moed) in corso di pubblicazione su Research Policy è stato molto citato e dibattuto in Italia, ma forse in pochi lo hanno letto interamente. Ho così accolto con molto piacere l’invito a contribuire alla discussione su questo tema così importante, troppo spesso trascurato, e che riprende proprio il titolo del nostro saggio: “La scienza italiana è in declino?”
Nel nostro studio abbiamo analizzato lo stato della scienza italiana nel contesto europeo dal 1980 al 2009 utilizzando i dati del database Web of Science della Thomson-Reuters e dati di fonte EUROSTAT. In particolare, abbiamo esaminato il contributo italiano alla produzione scientifica mondiale, l’impatto relativo delle citazioni della produzione scientifica italiana in comparazione con i principali Paesi produttori di scienza a livello europeo e l’andamento delle collaborazioni scientifiche internazionali, mettendoli in relazione con gli input della ricerca, ossia le risorse umane e gli investimenti.
Le domande importanti:
- Quanti sono i ricercatori che producono scienza in Italia?
- Quante risorse sono state spese per la ricerca negli ultimi trent’anni in Italia?
- Qual è il contributo italiano alla produzione scientifica mondiale?
- Rispetto alla qualità della produzione scientifica, come sta andando l’Italia in termini di impatto relativo delle citazioni?
- Come stanno andando le collaborazioni internazionali italiane? E come sono correlate alla qualità della produzione scientifica?
- Quali sono le performance del sistema scientifico italiano in termini di indicatori di produttività parziale (ossia numero di paper per ricercatore) e in termini di capacità strutturale del sistema (ossia numero di paper per 1000 abitanti)?
Di seguito sintetizzo i principali risultati delle nostre analisi, rimandando all’articolo in versione integrale prima citato per maggiori dettagli ed illustrazioni non riportate per motivi di spazio.
INPUT
Risorse umane
Il numero dei ricercatori nelle organizzazioni pubbliche di ricerca in Italia è tristemente basso: dagli anni novanta è il più basso d’Europa. La Spagna al contrario mostra un incremento esponenziale a partire dagli anni novanta, raggiungendo negli ultimi anni un livello più del doppio di quello italiano (1,75 contro 0,75 ricercatori per 1000 abitanti). Lo stesso impietoso scenario si verifica per il totale personale addetto alla Ricerca e Sviluppo (R&S).
Spesa in R&S
L’Italia spende in R&S molto meno di altri Paesi europei. Il totale degli investimenti in R&S rimane stabile ad un basso 1% del PIL. Lo stesso trend per gli investimenti in R&S delle organizzazioni pubbliche di ricerca che si attesta intorno allo 0.4% del PIL. La situazione è ancora più drammatica se si considera la spesa in R&S del settore privato: anche qui l’Italia è l’ultima con un assai magro 0.6%.
Il tasso di crescita della spesa degli enti pubblici di ricerca in R&S in Italia è vicino allo zero, come in Germania e in Francia; al contrario, la Spagna presenta un incremento costante negli ultimi dieci anni.
OUTPUT
Produzione scientifica
La produzione scientifica italiana nel Web of Science è aumentata costantemente nelle scorse decadi (1980–2007); il tasso di crescita annuale tende ad essere il più alto rispetto ai principali Paesi europei eccetto la Spagna. Tuttavia dopo il 2007, quando la percentuale mondiale di articoli italiani è stata del 3.5%, si osserva un leggero decremento nella produzione scientifica italiana, con un 3.4% nel 2008 e un 3.3% nel 2009 (Fig. 1).
Fino al 2007 l’overcompensation effect dell’incremento della produzione scientifica italiana in situazione di carenza di fondi sembra aver funzionato, ma è chiaro che quest’effetto non può durare all’infinito.

Fig. 1. Evolution of the percentage of articles published
from eight major countries.
Lines are loess fit at 75 per cent obtained using an Epanechnikov
kernel. CH: Switzerland; CN:
China; DE: Germany; ES: Spain;
FR: France; IT: Italy; NL: Netherlands; Source: Authors' elaborations on Thomson Reuters’ Web of Science (WoS). Fonte: Daraio Moed
(2011).
Impatto relativo delle citazioni
L’Italia ha raggiunto nel 2000 la media mondiale in termini di qualità della sua produzione scientifica, misurata attraverso l’impatto relativo normalizzato delle citazioni; tuttavia il suo livello è più basso di quello degli altri principali Paesi europei (Svizzera, Paesi Bassi, Gran Bretagna, Germania, Francia). Nel 2007 la Spagna ha raggiunto l’Italia in termini di qualità scientifica delle sue pubblicazioni. (Fig. 2)

Fig 2. Evolution of the relative citation impact of eight major countries.
The dotted reference line
represents the world’s average. For China only 2005 and 2006 are reported.
For country codes see the legend of Figure 1. Source: WoS. Fonte: Daraio Moed
(2011).
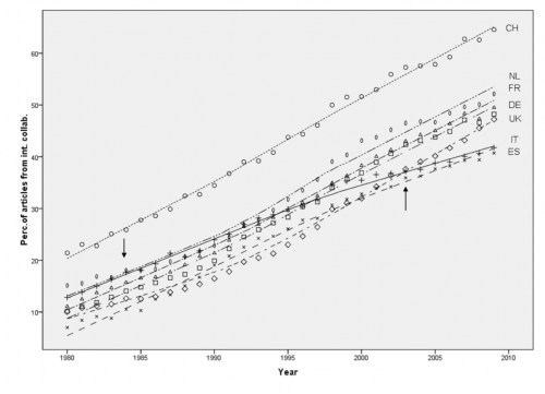
Collaborazioni scientifiche
L’Italia è rimasta indietro nelle collaborazioni scientifiche internazionali: era seconda negli anni ottanta, ma è penultima dal 2003. (Fig. 3) Considerando l’alta correlazione delle collaborazioni scientifiche internazionali con l’impatto relativo delle citazioni, questo potrebbe essere un segnale di declino della qualità scientifica da non sottovalutare.

Fig. 3. Percentages of articles
(fractional count) from international collaboration relative to country total.
Lines are loess fit at 75 per cent obtained using an Epanechnikov kernel. Data from WoS. Fonte: Daraio Moed (2011).
Ruolo nelle collaborazioni bilaterali
La Fig. 4 illustra le collaborazioni internazionali bilaterali che rappresentano circa l’85% di tutte le collaborazioni internazionali realizzate nel 2007. Se assumiamo che nella maggior parte delle discipline il ricercatore o il gruppo principale tende ad ottenere la prima posizione nella lista degli autori, possiamo ottenere un’indicazione del ruolo svolto da ciascun Paese nella collaborazione, se primario o secondario.
Come mostra la Fig. 4, l’Italia e la Spagna in termini di ruolo nelle collaborazioni internazionali, primario o secondario, mostrano un andamento diverso dagli altri principali Paesi europei, simile a quello dei paesi in via di sviluppo.

Fig. 4: Percentage of first address
papers in bilateral collaborations against
the percentage of international collaborative articles in 2007. Data from WoS. Fonte: Daraio Moed (2011).
Eterogeneità della produttività scientifica dei singoli ricercatori?
Al contrario dei risultati per gli altri Paesi europei, per l’Italia né il numero dei ricercatori negli enti pubblici di ricerca né il numero dei ricercatori nel settore privato presenta una correlazione positiva con l’impatto relativo delle citazioni. Questo risultato ci ha molto sorpreso e richiede ulteriori approfondimenti: la nostra interpretazione è stata l’elevata eterogeneità nelle produttività dei singoli ricercatori italiani.
Indicatori di produttività
-Indicatore di produttività parziale: numero di paper nel Web of Science per ricercatore.
Rispetto agli altri principali Paesi europei, l’Italia appare come il Paese più produttivo in termini di numero di pubblicazioni per ricercatore (Fig. 5)
-Indicatore della capacità strutturale del sistema: numero di paper (nel WoS) per 1000 abitanti.
Rispetto agli altri principali Paesi europei, l’Italia è l’ultima in termini di numero di pubblicazioni per 1000 abitanti (Fig. 6)

Fig.5 Evolution of
the number of publications (fractional count) per researcher over the period
1981-2009. Source: WoS and EUROSTAT. Fonte: Daraio Moed (2011).

Fig. 6 Evolution of the number of publications (fractional
count) per 1000 inhabitants over the period 1981-2009. Source: WoS and EUROSTAT. Fonte: Daraio Moed (2011).
Alcune considerazioni
Il nostro studio ha il merito di fornire alcune indicazioni chiare sullo stato della ricerca in Italia. Ovviamente, è soltanto un punto di partenza.
I nostri risultati, se da un lato stimolano il proseguimento della ricerca su questo argomento così importante con nuove e più stimolanti domande di ricerca, con analisi più dettagliate, elaborate ed aggiornate, dall’altro dovrebbero iniziare a farci riflettere, già adesso, su quale ruolo vogliamo per la scienza italiana dei prossimi decenni, e con quali Paesi vogliamo confrontarci.
Eravamo abituati a raffrontarci con Francia e Germania, e invece siamo molto simili alla Spagna che ci ha mostrato, nell’ultimo decennio, come gli investimenti in ricerca, accompagnati da una riforma del sistema della ricerca orientata alla promozione della produttività scientifica, si siano tradotti in miglioramento degli indicatori bibliometrici di quantità e qualità della produzione scientifica.
Abbiamo concluso il nostro lavoro auspicando un incremento dei finanziamenti alla ricerca, accompagnato però da una coraggiosa riforma dell’autonomia e della governance, una nuova architettura del sistema basata su un solido controllo interno di qualità che incentivi la produttività scientifica.
Quali politiche attuare dunque per il rilancio, in termini qualitativi e quantitativi, della ricerca italiana? Si tratta di tematiche su cui noi tutti, studiosi, opinione pubblica, operatori della comunicazione e, soprattutto, policy maker siamo invitati a confrontarci, ognuno facendo il proprio mestiere, in modo costruttivo e senza pregiudiziali, nell’esclusivo interesse della ricerca italiana, prima che i segnali di declino che abbiamo colto si trasformino in qualcosa di più grave.
Bisognerebbe anche incrementare le iniziative e i dibattiti sul tema. Per esempio, l’incontro/conferenza stampa di presentazione del saggio “Is Italian Science Declining?” con Henk Moed e la sottoscritta, organizzato dall’ ANPRI - Associazione Nazionale Professionale per la Ricerca (http://www.anpri.it/ ) il 9 settembre 2011 a Roma presso l’Aula Magna dell’ ISTAT, ha costituito un’ occasione importante per iniziare a discutere dello stato della scienza in Italia confrontandosi sui contenuti, dando le proprie interpretazioni e iniziando ad avanzare le prime proposte.
